AIRPAX / Sensata SNAPAK® Magnetic Circuit Protectors

AIRPAX / Sensata SNAPAK® Magnetic Circuit Protectors combine the functions of three components: power switch, fuse, and fuse holder. This three-in-one construction means only one component has to be mounted instead of three, saving on assembly time and costs. The combined design also achieves greater panel density with less clutter while reducing inventory by two-thirds. The snap-acting function of these protectors ensures the immediate opening and closing of contacts. The design also minimizes arcing and prevents operator "teasing" of the contacts. AIRPAX / Sensata SNAPAK Magnetic Circuit Protectors are UL recognized and CSA certified as supplementary protectors, TÜV approved as circuit breakers for equipment, CCC approved, and CE compliant. Ideal applications include electronic data processing, office appliances, medical equipment, and business, vending, and amusement machines.

Features

  • Combines functions of power switch, fuse, and fuse holder
  • Can be operated at either DC or 50/60Hz
  • Variety of handles and actuators
  • Quick-connect terminals available
  • Achieves greater panel density
  • Ensures immediate opening and closing of contacts
  • Cuts inventory by two-thirds
  • UL recognized as supplementary protectors per UL STD. 1077
  • CSA certified as supplementary protectors per CSA STD. C22.2 No. 235
  • TÜV approved as circuit breakers for equipment per STD. EN 60934
  • CCC approved
  • CE compliant

Applications

  • Office appliances
  • Electronic data processing
  • Medical equipment
  • Business machines
  • Vending and amusement machines

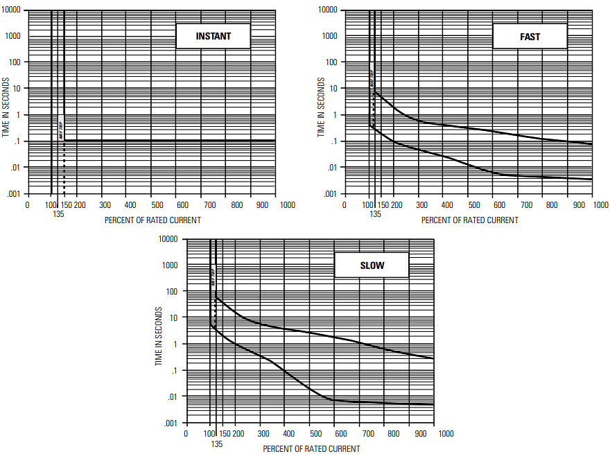
Performance Graphs

Performance Graph - AIRPAX / Sensata SNAPAK® Magnetic Circuit Protectors
Publicado: 2025-05-23 | Actualizado: 2025-06-05